Available Translations:
Summary of GMEP results by Glastir Outcome
A wide range of results are now available from the GMEP project. These provide evidence of ongoing changes in Wales' Natural Resources. A subset of results has been agreed with the Welsh Government and the GMEP Advisory Group as high level indicators for the 6 Outcomes of the Glastir Scheme and are reported here. The six outcomes are:
- Combating climate change
- Improving water quality and managing water resources
- Improving soil quality and management
- Maintaining and enhancing biodiversity
- Managing landscapes and historic environment and improving public access to the countryside
- Woodland creation and management
GMEP activities have included; a national rolling field survey of 300 1km squares with an equal split of land in and out of scheme; new analyses of long term data from other monitoring programmes; development of new indicators; modelling to explore potential future outcomes; surveys to assess wider socio-economic benefits; and exploitation and development of novel technologies.
These indicators are included in the Headline Results below to give a broad summary of the significant findings of GMEP as either 'positive outcomes' or 'areas of concern or a need for further action'.
Headline Results: Glastir Impacts
GMEP was tasked with providing a baseline for assessing the future impacts of Glastir. Future field surveys will provide the main evidence for actual change in the six original intended Outcomes. To provide an early insight into likely future impacts on the six original Outcomes intended for Glastir, we exploited a set of models and accounting tools to project the likely impacts of management interventions for soil, water, biodiversity, climate change and woodlands.
Maintaining and enhancing biodiversity
Positive Outcomes: Glastir Impacts
GMEP modelling results of the likely outcomes for biodiversity suggest that the direction of improvement in habitat condition for species studied is likely to be encouraged by the Glastir actions explored.
Areas for concern or further action needed: Glastir Impacts
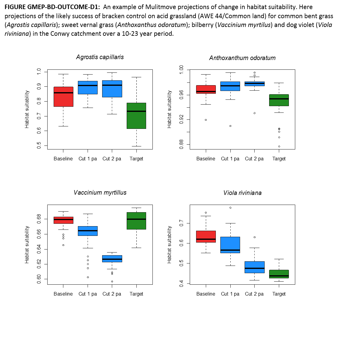
Modelling work using Multimove indicates a likely lag time of 10 to 23 years for soil and canopy height conditions to be suitable for a series of 21 common and some rare species associated with final target habitats for Glastir interventions. This emphasises the need for consistency and patience in maintaining interventions if the benefits are to be realised.
Detailed findings: Glastir impacts
For more detail on data and findings related to Glastir impacts, visit the Resources page and download the GMEP Final Report or the GMEP Final Report Executive Summary.
Headline Results: National Trends
The GMEP 'Wider Wales' structured rolling field survey provides the control population for assessing future changes resulting from Glastir. One benefit of the structured sampling of the countryside used in this Wider Wales survey is that this control population also provides an unbiased national assessment of stock and condition of common habitats and species including woodland, soils, small streams and ponds. GMEP results can be linked to past trends to put the current observations into context.
Maintaining and enhancing biodiversity
Positive Outcomes: National Trends
- With respect to biodiversity, condition of land as indicated by plant indicators indicative of good condition is either stable or improving for arable, improved land, habitat land and broadleaved woodland.
- Patch size of habitat and woodland has increased over the last 30 years.
- The condition of Blanket Bogs are improving as is Purple Moor Grass and Rush Pasture - two Priority Habitats. These habitats have been targeted for improvement for many years and many actions have been undertaken to support their recovery. The relative importance of restoration practices, an improving pollution climate and/or rainfall changes need to be explored.
- Initial analysis suggests a recent increase in the area of blanket bog and montane habitats.
- A composite indicator of species data from the Butterfly Monitoring Scheme indicate that specialist butterfly groups have recently stabilised after declining for many years.
- BTO/JNCC/RSPB Breeding Bird Survey data indicate an increase in woodland and upland breeding bird populations, and stable overall bird diversity over the last 15 years. The last two years of data also suggest lowland bird populations may have turned upwards after a 15 year decline.
- A new metric for priority bird species indicates 65% have stable or increasing populations with no consistent trend over the last 20 years.
Areas for concern or further action needed: National Trends
- A recent decline in the area of dwarf shrub heath.
- BTO/JNCC/RSPB Breeding Bird Survey data indicate an average decline (15 years) in lowland birds populations which may have turned upwards since 2012.
- New analysis of BTO/JNCC/RSPB Breeding Bird Survey data for GMEP to create a priority bird index suggests 35% of priority bird species remain at risk with declining populations.
- New analysis of trends in under-studied species by the Biological Records Centre identified 10 taxonomic groups with negative net change trends, with the remaining 8 taxonomic groups showing a positive net change trend for the period 1990-2000. The data was captured by opportunistic biological recording by 16 societies and recording schemes.
Detailed findings: National Trends
Further information on National Trends in high level GMEP indicators is available in the figures and tables below. For more detail on data and findings related to National Trends, visit the Resources page and download the GMEP Final Report or the GMEP Final Report Executive Summary.











